補修設計

補修設計に必要な調査から診断、補修計画そして詳細設計までトータルにデザインします。
耐震や各種の補強設計にも対応します。
現況構造の状態把握から必要な補強に対する設計までトータルにデザインします。
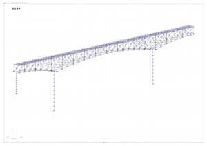
構造解析

3次元の骨組み解析、動的解析、FEM解析などあらゆる構造解析に対応します。
モデル作成から報告書の作成までっすっかりお任せください鋼構造の解析ならできないことはありません。
新規構造の設計

ペデストリアンデッキ、シェルター、歩道橋、避難タワーなどの新規構造物の設計に対応します。
アーチ橋やトラス橋といった特殊な橋梁にも対応できます。
桁橋については自動設計を保有していないため、積極的には対応していませんが、予備設計、比較設計、検討業務には対応いたします。
架設計画

構造物の架設に関する計画や架設時の応力解析などに対応します。
その他
鋼構造物であればおよそ何でも対応できます。
橋梁以外でもラックや建築物についても設計することは可能ですので、何なりとご相談ください。
